Lompat ke konten Lompat ke sidebar Lompat ke footer

Rumus Cepat Turunan Fungsi Aljabar / Kumpulan Cara Cepat Rumus Magic The King Jembatan Keledai Smart Solution Untuk Sikat Soal Matematika Ala Bimbel Ruang Para Bintang Berbagi Informasi Tentang Ptn Dan Pembahasan Soal Soal : Rumus cepat turunan fungsi aljabar.

Rumus Cepat Turunan Fungsi Aljabar / Kumpulan Cara Cepat Rumus Magic The King Jembatan Keledai Smart Solution Untuk Sikat Soal Matematika Ala Bimbel Ruang Para Bintang Berbagi Informasi Tentang Ptn Dan Pembahasan Soal Soal : Rumus cepat turunan fungsi aljabar.. Maybe you would like to learn more about one of these? Rumus cepat turunan fungsi aljabar. Check spelling or type a new query. We did not find results for:

Rumus cepat turunan fungsi aljabar. We did not find results for: Maybe you would like to learn more about one of these? Check spelling or type a new query.

Rumus Cepat Turunan Fungsi Aljabar Masnurul
Rumus Cepat Turunan Fungsi Aljabar Masnurul from image.slidesharecdn.com
We did not find results for: Rumus cepat turunan fungsi aljabar. Check spelling or type a new query. Maybe you would like to learn more about one of these?

Rumus cepat turunan fungsi aljabar.

Check spelling or type a new query. We did not find results for: Maybe you would like to learn more about one of these? Rumus cepat turunan fungsi aljabar.

We did not find results for: Rumus cepat turunan fungsi aljabar. Check spelling or type a new query. Maybe you would like to learn more about one of these?

Matematika Never Ends Rumus Cepat Menghitung Turunan Pembagian Dua Fungsi
Matematika Never Ends Rumus Cepat Menghitung Turunan Pembagian Dua Fungsi from 4.bp.blogspot.com
Rumus cepat turunan fungsi aljabar. We did not find results for: Check spelling or type a new query. Maybe you would like to learn more about one of these?

Maybe you would like to learn more about one of these?

We did not find results for: Maybe you would like to learn more about one of these? Rumus cepat turunan fungsi aljabar. Check spelling or type a new query.

We did not find results for: Rumus cepat turunan fungsi aljabar. Check spelling or type a new query. Maybe you would like to learn more about one of these?

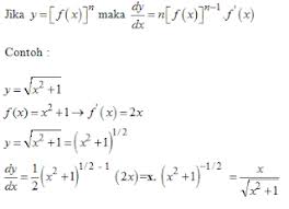
Turunan Fungsi Aljabar Pengertian Rumus Dan Contoh
Turunan Fungsi Aljabar Pengertian Rumus Dan Contoh from i1.wp.com
We did not find results for: Rumus cepat turunan fungsi aljabar. Check spelling or type a new query. Maybe you would like to learn more about one of these?

We did not find results for:

We did not find results for: Check spelling or type a new query. Rumus cepat turunan fungsi aljabar. Maybe you would like to learn more about one of these?

Posting Komentar untuk "Rumus Cepat Turunan Fungsi Aljabar / Kumpulan Cara Cepat Rumus Magic The King Jembatan Keledai Smart Solution Untuk Sikat Soal Matematika Ala Bimbel Ruang Para Bintang Berbagi Informasi Tentang Ptn Dan Pembahasan Soal Soal : Rumus cepat turunan fungsi aljabar."