Beranda
/ Integral Sin Kuadrat X - Integration Of X 2 Sin 2x Warkopdki21 - How to integrate sin^2 x using the addition formula for cos(2x) and a trigonometric identity.
Integral Sin Kuadrat X - Integration Of X 2 Sin 2x Warkopdki21 - How to integrate sin^2 x using the addition formula for cos(2x) and a trigonometric identity.
Integral Sin Kuadrat X - Integration Of X 2 Sin 2x Warkopdki21 - How to integrate sin^2 x using the addition formula for cos(2x) and a trigonometric identity.. Maka dy/dx = 3x 2 — 12x. Jul 06, 2021 · 3. For more about how to use the integral calculator, go to help or take a look at the examples. ∫ (x 2 — 4x) cos (x 3 — 6x 2 + 7) dx = … jawab : Secara prinsip integral trigonometri akan berjalan jika antara variabel d(x) sama dengan sudutnya.
More images for integral sin kuadrat x » The integral calculator supports definite and indefinite integrals (antiderivatives) as well as integrating functions with many variables. 16 ∫ (x + 3) cos (2x − π)dx simpan dulu 16 nya, terakhir nanti hasilnya baru di kali 16 = uv − ∫v du = (x + 3) 1 / 2 sin (2x − π) − ∫ 1 / 2 sin (2x − π) du ∫ (x 2 — 4x) cos (x 3 — 6x 2 + 7) dx = ∫ (x 2 — 4x) cos y 1/3 dy/(x 2 — 4x) = 1/3 ∫ cos y dy = 1/3 sin y + c = 1/3 sin (x 3 — 6x 2 + 7) + c Secara prinsip integral trigonometri akan berjalan jika antara variabel d(x) sama dengan sudutnya.
Rumus Integral Trigonometri Rumushitung Com from i2.wp.com Substitusikan nilai a, b , dan c yang sudah diperoleh ke dalam persamaan berikut. For more about how to use the integral calculator, go to help or take a look at the examples. How to integrate sin^2 x using the addition formula for cos(2x) and a trigonometric identity. ∫ (x 2 — 4x) cos (x 3 — 6x 2 + 7) dx = ∫ (x 2 — 4x) cos y 1/3 dy/(x 2 — 4x) = 1/3 ∫ cos y dy = 1/3 sin y + c = 1/3 sin (x 3 — 6x 2 + 7) + c Sehingga dx = dy/(3x 2 — 12x) atau dx = 1/3 dy/(x 2 — 4x) jadi. Misal y = x 3 — 6x 2 + 7. Maka dy/dx = 3x 2 — 12x. ∫ (x 2 — 4x) cos (x 3 — 6x 2 + 7) dx = … jawab :
Secara prinsip integral trigonometri akan berjalan jika antara variabel d(x) sama dengan sudutnya.
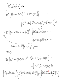
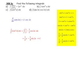
How to integrate sin^2 x using the addition formula for cos(2x) and a trigonometric identity. Jul 06, 2021 · 3. U = (x + 3) v = 1 / 2 sin (2x − π) du = dx. Interactive graphs/plots help visualize and better understand the functions. Secara prinsip integral trigonometri akan berjalan jika antara variabel d(x) sama dengan sudutnya. Steps on how to solve the integral sin(ln x) using integration by parts formula. Sehingga dx = dy/(3x 2 — 12x) atau dx = 1/3 dy/(x 2 — 4x) jadi. Apr 24, 2017 · v = ∫ cos (2x − π) dx = 1/2 sin (2x − π) + c. More images for integral sin kuadrat x » 16 ∫ (x + 3) cos (2x − π)dx simpan dulu 16 nya, terakhir nanti hasilnya baru di kali 16 = uv − ∫v du = (x + 3) 1 / 2 sin (2x − π) − ∫ 1 / 2 sin (2x − π) du ∫ (x 2 — 4x) cos (x 3 — 6x 2 + 7) dx = ∫ (x 2 — 4x) cos y 1/3 dy/(x 2 — 4x) = 1/3 ∫ cos y dy = 1/3 sin y + c = 1/3 sin (x 3 — 6x 2 + 7) + c Steps on how to solve the integral sin(ln x) using integration by parts formula. Jika tidak sama, maka perlu dimisalkan dengan memisalkan s.
Apr 24, 2017 · v = ∫ cos (2x − π) dx = 1/2 sin (2x − π) + c. Substitusikan nilai a, b , dan c yang sudah diperoleh ke dalam persamaan berikut. Misal y = x 3 — 6x 2 + 7. The integral calculator supports definite and indefinite integrals (antiderivatives) as well as integrating functions with many variables. Jika tidak sama, maka perlu dimisalkan dengan memisalkan s.
Integral Of 1 1 Sin 2 X Substitution Substitution Youtube from i.ytimg.com The integral calculator supports definite and indefinite integrals (antiderivatives) as well as integrating functions with many variables. Substitusikan nilai a, b , dan c yang sudah diperoleh ke dalam persamaan berikut. For more about how to use the integral calculator, go to help or take a look at the examples. 16 ∫ (x + 3) cos (2x − π)dx simpan dulu 16 nya, terakhir nanti hasilnya baru di kali 16 = uv − ∫v du = (x + 3) 1 / 2 sin (2x − π) − ∫ 1 / 2 sin (2x − π) du Secara prinsip integral trigonometri akan berjalan jika antara variabel d(x) sama dengan sudutnya. How to integrate sin^2 x using the addition formula for cos(2x) and a trigonometric identity. ∫ (x 2 — 4x) cos (x 3 — 6x 2 + 7) dx = ∫ (x 2 — 4x) cos y 1/3 dy/(x 2 — 4x) = 1/3 ∫ cos y dy = 1/3 sin y + c = 1/3 sin (x 3 — 6x 2 + 7) + c Misal y = x 3 — 6x 2 + 7.
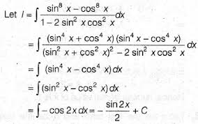
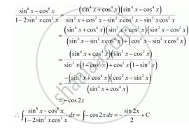
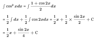
How to integrate sin^2 x using the addition formula for cos(2x) and a trigonometric identity.
Jul 06, 2021 · 3. How to integrate sin^2 x using the addition formula for cos(2x) and a trigonometric identity. Interactive graphs/plots help visualize and better understand the functions. ∫ (x 2 — 4x) cos (x 3 — 6x 2 + 7) dx = ∫ (x 2 — 4x) cos y 1/3 dy/(x 2 — 4x) = 1/3 ∫ cos y dy = 1/3 sin y + c = 1/3 sin (x 3 — 6x 2 + 7) + c Steps on how to solve the integral sin(ln x) using integration by parts formula. Maka dy/dx = 3x 2 — 12x. More images for integral sin kuadrat x » The integral calculator supports definite and indefinite integrals (antiderivatives) as well as integrating functions with many variables. Misal y = x 3 — 6x 2 + 7. Substitusikan nilai a, b , dan c yang sudah diperoleh ke dalam persamaan berikut. Turunan trigonometri bisa kita tuliskan. Sehingga dx = dy/(3x 2 — 12x) atau dx = 1/3 dy/(x 2 — 4x) jadi. ∫ (x 2 — 4x) cos (x 3 — 6x 2 + 7) dx = … jawab :
Substitusikan nilai a, b , dan c yang sudah diperoleh ke dalam persamaan berikut. Apr 24, 2017 · v = ∫ cos (2x − π) dx = 1/2 sin (2x − π) + c. Jika tidak sama, maka perlu dimisalkan dengan memisalkan s. Maka dy/dx = 3x 2 — 12x. Steps on how to solve the integral sin(ln x) using integration by parts formula.
The Perplexing Integral Of Sin X Cos X Sunday Puzzle Mind Your Decisions from mindyourdecisions.com Substitusikan nilai a, b , dan c yang sudah diperoleh ke dalam persamaan berikut. Steps on how to solve the integral sin(ln x) using integration by parts formula. Sehingga dx = dy/(3x 2 — 12x) atau dx = 1/3 dy/(x 2 — 4x) jadi. Jul 06, 2021 · 3. ∫ (x 2 — 4x) cos (x 3 — 6x 2 + 7) dx = … jawab : Misal y = x 3 — 6x 2 + 7. You can also check your answers! ∫ (x 2 — 4x) cos (x 3 — 6x 2 + 7) dx = ∫ (x 2 — 4x) cos y 1/3 dy/(x 2 — 4x) = 1/3 ∫ cos y dy = 1/3 sin y + c = 1/3 sin (x 3 — 6x 2 + 7) + c
Misal y = x 3 — 6x 2 + 7.
Maka dy/dx = 3x 2 — 12x. For more about how to use the integral calculator, go to help or take a look at the examples. Jika tidak sama, maka perlu dimisalkan dengan memisalkan s. Steps on how to solve the integral sin(ln x) using integration by parts formula. You can also check your answers! Turunan trigonometri bisa kita tuliskan. Steps on how to solve the integral sin(ln x) using integration by parts formula. Substitusikan nilai a, b , dan c yang sudah diperoleh ke dalam persamaan berikut. Interactive graphs/plots help visualize and better understand the functions. U = (x + 3) v = 1 / 2 sin (2x − π) du = dx. Sehingga dx = dy/(3x 2 — 12x) atau dx = 1/3 dy/(x 2 — 4x) jadi. ∫ (x 2 — 4x) cos (x 3 — 6x 2 + 7) dx = … jawab : Apr 24, 2017 · v = ∫ cos (2x − π) dx = 1/2 sin (2x − π) + c.
Berbagi
Posting Komentar
untuk "Integral Sin Kuadrat X - Integration Of X 2 Sin 2x Warkopdki21 - How to integrate sin^2 x using the addition formula for cos(2x) and a trigonometric identity."
Posting Komentar untuk "Integral Sin Kuadrat X - Integration Of X 2 Sin 2x Warkopdki21 - How to integrate sin^2 x using the addition formula for cos(2x) and a trigonometric identity."